TIANA - Nierdzewna pompa do ścieków surowych o przelocie swobodnym 50 mm
Nie udało się wczytać dostępności odbioru
Pompa zatapialna TIANA to doskonałe rozwiązanie do przydomowych przepompowni ścieków gdzie sprawdzi się jej wysoka odporność na zatykanie dzięki dużemu przelotowi pod wirnikiem oraz odporna na agresywne środowisko budowa, wykonana ze stali nierdzewnej. TIANA spełni również oczekiwania użytkowników przydomowych szamb, którzy docenią jej kompaktową budowę oraz niewielką wagę podczas przenoszenia i częstego opuszczania w zbiornikach.
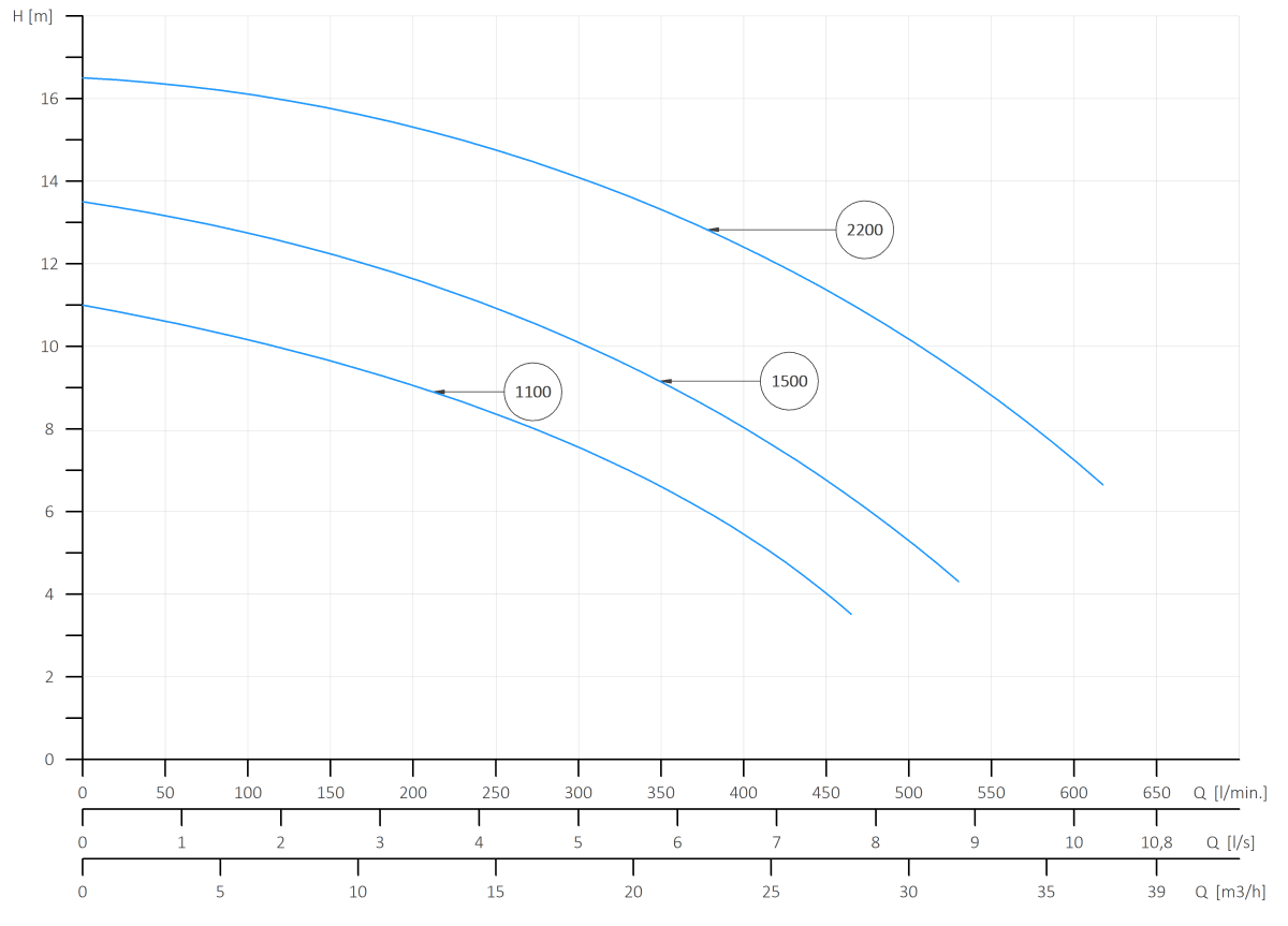
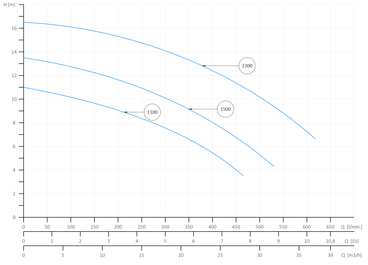
Charakterystyka techniczna
- Podnoszenie maksymalne Hmax = 16,5 m,
- Wydajność maksymalna Qmax = 10 l/s / 600 l/min / 36 m3/h,
- Wirnik Vortex,
- Przelot części stałych:Ø50 mm,
- Przyłącze poziome: G2 (lub kołnierz na zamówienie),
- Maksymalna temperatura wody: 35°C,
- Zakres pH: 6-10,
- Maksymalna gęstość ścieków 1,1 kg/dm3,
- Zanurzenie maksymalne 5 m,
- Przewód zasilający 10 m.
- Gwarancja 36 miesięcy!
Dane techniczne
|
Nr |
Pompa / model* |
Pływak |
Przyłącze |
Przelot |
Moc P2 |
1~230 V |
C |
3~400 V |
Kabel |
|
1 |
TIANA 1100 M |
NIE |
2” |
50 |
1,1 |
7,0 |
30 |
- |
3 x 1mm2 – 10 m |
|
2 |
TIANA 1100 MP |
TAK |
2” |
50 |
1,1 |
7,0 |
30 |
- |
3 x 1mm2 – 10 m |
|
3 |
TIANA 1100 T |
NIE |
2” |
50 |
1,1 |
- |
- |
2,6 |
4 x 1mm2 – 10 m |
|
4 |
TIANA 1500 M |
NIE |
2” |
50 |
1,5 |
9,2 |
40 |
- |
3 x 1,5mm2 – 10 m |
|
5 |
TIANA 1500 MP |
TAK |
2” |
50 |
1,5 |
9,2 |
40 |
- |
3 x 1,5mm2 – 10 m |
|
6 |
TIANA 1500 T |
NIE |
2” |
50 |
1,5 |
- |
- |
3,5 |
4 x 1mm2 – 10 m |
|
7 |
TIANA 2200 M |
NIE |
2” |
50 |
2,2 |
14 |
50 |
- |
3 x 1,5mm2 – 10 m |
|
8 |
TIANA 2200 MP |
TAK |
2” |
50 |
2,2 |
14 |
50 |
- |
3 x 1,5mm2 – 10 m |
|
7 |
TIANA 2200 T |
NIE |
2” |
50 |
2,2 |
- |
- |
4,9 |
4 x 1mm2 – 10 m |
*M – wersja 1~230 V bez pływaka, MP – wersja 1~230 V z pływakiem, T – wersja 3~400 V bez pływaka
Wymiary
|
Wymiary |
TIANA 1100 |
TIANA 1500 |
TIANA 2200 |
||||||
|
[mm] |
M |
MP |
T |
M |
MP |
T |
M |
MP |
T |
|
A |
133 |
133 |
133 |
||||||
|
B |
228 |
228 |
228 |
||||||
|
ØD |
190 |
190 |
190 |
||||||
|
H |
487 |
505 |
487 |
537 |
505 |
||||
|
H1 |
96 |
96 |
96 |
||||||
|
G |
G2” |
G2” |
G2” |
||||||
|
Waga [kg] |
17,2 |
17,5 |
16,7 |
19,9 |
20,1 |
17,8 |
20,6 |
21,4 |
19,8 |
Budowa
- Silnik: asynchroniczny typu klatkowego,
- Stopień ochrony: IP 68,
- Klasa izolacji: F,
- Wbudowane zabezpieczenie termiczne oraz czujnik wilgotności,
- Obudowa silnika i pompy: stal nierdzewna 304,
- Wirnik: stal nierdzewna 304,
- Wał silnika: stal nierdzewna 402,
- Kabel elektryczny: H07RN8 zakończony wolnymi zaciskami,
- Śruby klasy A2 / AISI 304,
- Uszczelnienie: podwójne uszczelnienie mechaniczne.
Wersje pompy TIANA
- TIANA 1100 M - 1~230 V
- TIANA 1100 MP - 1~230 V z pływakiem
- TIANA 1100 T - 3~400 V
- TIANA 1500 M - 1~230 V
- TIANA 1500 MP - 1~230 V z pływakiem
- TIANA 1500 T - 3~400 V
- TIANA 2200 M - 1~230 V
- TIANA 2200 MP - 1~230 V z pływakiem
- TIANA 2200 T - 3~400 V